
机器设备的定义及分类
“机器设备”是指:由金属或其他材料组成,由若干零部件装配起来,在一种或几种动力驱动下,能够完成生产、加工、运行等功能或效用的装置。
机器设备的种类繁多,分类方法也十分复杂,目前常见的分类方式主要是依据《固定资产分类与代码》(GB/T14885-2010),固定资产共分为6个门类,分别是:
● 土地、房屋、构筑物
● 通用设备
● 专用设备
● 文物和陈列品
● 图书档案
● 家具、用具、装具及动植物
机器设备主要分为两个门类,即:
● 通用设备
● 专用设备
譬如,通用设备这个门类又可以分为:电气设备、机械设备、通信设备、仪器仪表、计算机设备、办公设备、车辆等11个大类,在11个大类中又可以分为数百种小类。这种分类的方式是以机器设备的技术特点、使用方式来确定的。
有些企业也会根据机器设备的大小、重要程度、精密等级等对机器设备进行分类,将设备分为大型设备、精密设备、关键设备等。
在资产评估中,我们常常通过组合形式,将机器设备分为:
● 单项机器
● 机器设备组合
单台机器设备是指以独立形态存在、可以单独发挥作用或者以单台的形式进行销售的机器设备。
机器设备组合是指由若干机器设备组成的有机整体。
机器设备的评估方法
机器设备的评估方法主要有三种,分别是成本法、市场法和收益法。我们应当根据评估目的、评估对象、价值类型、资料收集等情况,分析成本法、市场法和收益法三种资产评估基本方法的适用性,然后确定选取的评估方法。
成本法又可以称为重置成本法,是指通过估算机器设备的重置成本,然后扣减其在使用过程中自然磨损、技术进步或外部经济环境导致的各种贬值,估测机器设备的评估值的方法,用公式可以表示为:
评估值=重置成本-实体性贬值-功能性贬值-经济性贬值
或
评估值=重置成本×(1-实体贬值率-功能贬值率-经济贬值率)
或
评估值=重置成本×(1-综合成新率)
成本法是机器设备评估中使用频率最多的一种方法,它的关键就在于如何确定机器设备的重置成本和贬值程度,下面简单介绍
机器设备的重置成本包括购置或购建设备所发生的必要的、合理的直接成本、间接成本和资金成本,对于单项机器来说重置成本通常只包含直接成本。
机器设备的贬值分为:实体性贬值、功能性贬值、经济性贬值
实体性贬值是指设备在使用过程中,零部件受到摩擦、冲击、振动等作用,造成设备磨损、疲劳等破坏,从而使机器设备使用寿命缩短。
功能性贬值是指由于无形的磨损而引起机器设备的功能性贬值,主要表现在由于技术进步、新材料、新工艺不断地出现,使得相同功能的新设备制造成本比过去降低,由此带来的功能性贬值。
经济性贬值是指由于外部经济因素引起的贬值,主要因素包括由于市场竞争的加剧引起产品需求的降低,导致开工不足从而导致设备产能过剩;国家有关能源、环保等限制导致产品生产成本提高,或者使设备强制报废,缩短了设备正常使用寿命等。
市场法是指根据公开市场上与被评估机器设备相似或者可比的参照物的价格来确定被评估对象的价格,将参照物与被评估机器设备之间的差异对价值的影响逐一调整的评估方法。
比较因素是指可能影响机器设备价值的因素,一般来讲,设备的比较因素可以分为个别因素、交易因素、时间因素和地域因素四类。
市场法用公式表示:
评估值=参照物市场价值±个别因素差异调整值
±交易因素差异调整值
±时间因素差异调整值
±地域因素差异调整值
其中,个别因素主要包括:名称、型号规格、生产能力、生产厂家、技术指标、附件、安装方式、实体状况等。这些指标从不同的方面反映了设备的“质”和“量”。
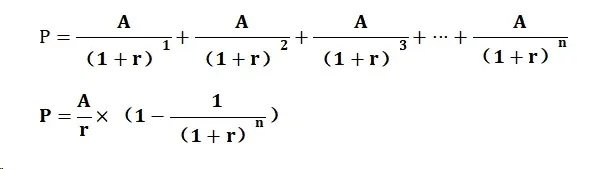
收益法是指通过预测设备的获利能力,对未来带来的净利润或净现金流按照一定的折现率折为现值,作为机器设备评估价值的评估方法。
以租赁设备为例,其租金收入就是未来产生的收益,如果租金收入和资本化率是不变的,则设备的评估价值的计算公式:

用收益法评估机器设备的价值,首先要对租赁市场上类似的设备的租金水平进行市场调查,分析市场参照物设备的租金收入,经过调整比较后确定机器设备的预期收益。其次,根据被评估设备的状况,估计其剩余使用寿命,作为确定收益年限的依据。最后,根据类似设备的租金及市场售价确定折现率,并根据被评估设备的收益年限进行折现,以此确定被评估机器设备的价值。