
文献研究表明剩余收益法对于价值评估具有更高的准确性和适用性。
剩余收益模型充分利用了企业往年的财务指标数据,也从价值创造的角度反映了企业的无形资产,并且从整体上展现了企业的经营成果。与此同时,相关的学术研究也证明了该模型适用于中国的资本市场。

以下将以某传媒企业的为例,在剩余收益模型理论的基础上,对企业的各项财务数据进行预测,最终得到企业价值的计算结果。

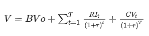
传统的公式含义为 :V 代表企业价值;BV 代表净资产账面价值;RI 是剩余收益 ;r 是股东资本报酬率。 该公式具有很大的局限性,它并没有对未来收益的准确性有十足的把握;其基于持续经营假设使得模型存在逻辑漏洞。这种理想的持续经营状态并不符合实际情况,一般企业是无法做到无限期的经营,企业是需要设定年限的,因此在此情况下相关学者提出了企业的持续价值 CV t 概念。正常情况下,企业持续经营一段时间后才有持续价值,所以应当从企业稳定增长的点开始计算,企业在该时点后收益的预期值为取值数。
则改进后的优化模型公式为 :

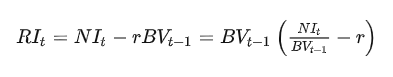
该式中 CV t 为第 t 期末企业持续经营价值。 传统的模型对于预测企业的未来的价值有一定困难,张人骥(2002)等学者将杜邦分析法融入其中,改进后的模型公式如下 :

模型分解优化后最终剩余收益的表达式为 :

其中 RIt 代表剩余收益,MOSt代表销售利润,ATOt为资产周转率,EMt-1为第 t-1 期的权益乘数;r为股东必要报酬率 ;而 St 代表营业收入。