
在实操层面,股权转让中经常会遇到股权转让对价的问题,比如,签署股权转让协议,到工商机构办理股权转让手续,关于股权转让对应资产是否需要评估,往往会出现不同的情况
资产评估是作为资本市场、以及价值管理的重要价值尺度
对于股权转让定价在实操中无论是过高还是过低都会存在一定的风险
股权转让价格偏低时,被税务机关认定故意做低且无正当理由时,税务机关仍然会按照评估价格征税
股权转让价格偏高时,会有可能被认定为输送利益或调整关联企业之间的利润
总的来说,大的原则和前提是:大多数情况下,股权转让时评估值是交易价格的参考,双方可以自行约定股权转让价格
但是在少数情况下,需要严格按照资产评估价格确定股权转让对价,以及税务部门核定相关税费的标准与依据
本篇文章为大家梳理下股权转让过程中需要进行资产转让的几种情况,以及股权转让的评估方法
01
哪些情况需进行资产评估?
1、交易双方中有一方属于国内上市公司或国有企业
上市公司的交易需要进行充分披露,价格需要公允对投资者负责,因此需要进行资产评估。而国有企业的转让为了防止国有资产流失也是需要进行资产评估
2、交易中以股权或非货币资产出资
如果以非货币增资方式实现股权转让,根据公司法的规定,非货币出资必须进行评估,因此需要提交评估报告,这点比较好理解,因为股权或非货币出资需要通过评估的方式才能够量化
3、个人股权转让时,被税务机关认为无正当理由价格偏低
个人股权转让,涉及缴纳个人所得税,如果股权转让交易价格被税务机关认为偏低,并企业没有正当理由,税务机关会要求提供评估报告
4 、关联方之间股权转让
企业向关联方转让股权,被税务机关认为价格不公允,会被要求对标的企业进行评估。
除以上几种情况外,股权转让价格一般情况下无需进行资产评估,股权价格不仅包括公司净资产,也包括当事人对其投资价值的主观评判
举个例子:
A公司于2001年成立,经营房地产业务,其中股东B持股50%,C持股50%。
2015年,C公司将该A公司50%的股权转让给B公司,协商转让价格为30000万元,并随后完成工商变更登记。
2017年末,C公司将A公司和B公司起诉至法院,请求撤销原股转合同,并恢复其股东身份
理由是B公司作为控股股东隐瞒了一项收入,造成转让股价虚,给其造成了一定损失
B公司为了证明先前转让的股价虚低,申请对股权进行资产评估,法院予以拒绝
为什么呢?
法院认为,有限公司股价不像上市公司股价经过充分竞争和博弈,其股价相对净资产有所溢价和折价纯属正常,B公司作为小股东具有知情权,所以不予认定存在隐瞒收入之事实
从上面的例子我们可以看出,公司股权的交易价格不仅包括公司的实物资产净值,也包括当事人对公司的无形资产、行业前景等实物资产以外的投资价值的主观评判
了解以上集中资产需要评估的情况,那么对于资产评估的方式对于每个投资人员也是需要进一步掌握的
02
股权作价通常有以下几种方法
股权转让时,股权作价通常有以下几种方法:协商作价法、出资额法、净资产作价法、评估作价法
(1) 协商作价法:
是指股权价格由转让方与受让方自由协商确定,是最为普遍的方法,通常是在净资产的基础上乘以溢价倍数确定
(2) 出资额法:
是按照股东出资额定价,优点简单明了、操作方便,缺点不能真实反映股权价值,特别是经营发展良好,净资产远大于出资额
(3) 净资产作价法:
是指以目标公司净资产为基准确定股权价格,优点可反映一定时期公司经营情况,确定不能反映公司未来成长性等因素
(4) 评估作价法:
是指以资产和负债评估价格为依据确定股权价格,常见有历史成本法、市场法、收益法
成本法和市场法的使用有较大的局限性
成本法对于企业财务数据的质量要求较高
市场法要求有活跃市场及充足的市场交易价格数据,而这一条件往往不具备
相比之下,收益法是国际公认的且在实务中广泛应用的一种评估无形资产和企业价值的方法,是通过估算评估对象未来预期收益的现值来判断资产价值
使用收益法对股权转让价值进行评估时,主要的难点在于对预期收益、折现率和取得预期收益的持续时间等的预估与判断
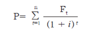
公式为:
公式中:
P 为评估价值
Ft 为未来第t个收益期的预期收益额
i为折现率
t为收益预测年期
n为收益预测期限。
举个例子帮助大家理解:
税务机关对股权价值的分析计算过程一般是这样的:
首先是对预期收益、折现率和取得预期收益的持续时间做出判断
假设,被转让股权的预期收益年期为5年,未来每个收益期的预期收益额为100万元,折现率为10%
未来5年每个收益期的预期收益现值分别为90.91万元、82.64 万元、75.13 万元、68.30 万元、62.09万元
未来5年的收益现值的总和为379.07万元,即为A公司转让B公司股权的评估价值
A公司应就该股权转让所得缴纳的所得税为(379.07-200)× 10% = 17.91(万元)
以上是关于股权转让价款是否需要进行评估以及评估常见几种方法的分析,希望能够帮助大家理解,在实操过程中也能够有所帮助
最后照常帮助大家总结一遍
【1】大的原则和前提是:大多数情况下,股权转让时评估值是交易价格的参考,双方可以自行约定股权转让价格
【2】除以上几种情况外,股权转让价格一般情况下无需进行资产评估,股权价格不仅包括公司净资产,也包括当事人对其投资价值的主观评判
【3】公司股权的交易价格不仅包括公司的实物资产净值,也包括当事人对公司的无形资产、行业前景等实物资产以外的投资价值的主观评判
【4】股权转让时,股权作价通常有以下几种方法:协商作价法、出资额法、净资产作价法、评估作价法
【5】收益法是国际公认的且在实务中广泛应用的一种评估无形资产和企业价值的方法,是通过估算评估对象未来预期收益的现值来判断资产价值
【6】使用收益法对股权转让价值进行评估时,主要的难点在于对预期收益、折现率和取得预期收益的持续时间等的预估与判断